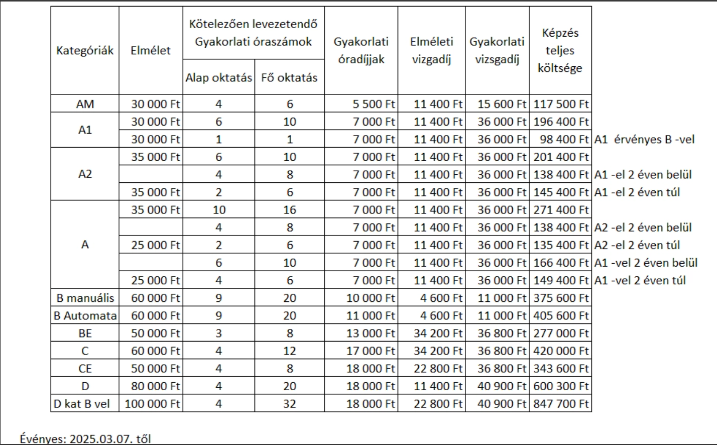
Árak